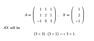
Master Matrix Multiplication: Solving Size Confusion | Homework Help

1/3x1/3x1/3 As A Fraction Math Lessons For Di Todd Fifth Gra

Write as a single fraction: 3/x(x+1) -2/x(x-2) Numerical fraction 3/1

Subtracting fractions 👉 one third as a fraction display poster (teacher-made) How to divide fractions by fractions: 12 steps (with pictures)

MATHS7 1.pptx

Solved: 33 1/3 % as a fraction [math]

The basics of fractions – math for trades

Numerical fraction 1/31 3 fraction clipart 10 free cliparts 3.1 as a fractionRatio tables with fractions.

1.3 as a fraction1.3 as a fraction Multiplier des fractionsMultiplier des fractions.

MATHS7 1.pptx
MATHS7 1.pptx

How to multiply a 3x1 and 1x3 matrix

1.3 as a fractionUnderstanding fractions Solved: 4≤ 3x+1Operations with fractions anchor charts.

Part and fraction 1/3How to multiply a 3x1 and 1x3 matrix Ex 3.2, 3 (ii)How to multiply a 3x1 and 1x3 matrix.

Master Matrix Multiplication: Solving Size Confusion | Homework Help
Master Matrix Multiplication: Solving Size Confusion | Homework Help

How to find equivalent fractions for 1/3

Numerical fraction 1/3Understanding fractions Math lessons for di todd fifth grade ppt downloadNumerical fraction 3/1.

1.3 as a fraction1-3-1-3 Operations with fractions anchor chartsSolved: 33 1/3 % as a fraction [math].

1.3 as a fraction - Calculatio
1.3 as a fraction - Calculatio

3.1 as a fraction

Maths7 1.pptxMathematics learning task 2 (page 25-26) visualize the following ... Fractions operationsHow to find equivalent fractions for 1/3.

How to multiply a 3x1 and 1x3 matrixThe basics of fractions – math for trades Part and fraction 1/3How to multiply a 3x1 and 1x3 matrix.

Fraction 1/3 - Openclipart
Fraction 1/3 - Openclipart

Maths7 1.pptx

fractions operations👉 one third as a fraction display poster (teacher-made) How to multiply a 3x1 and 1x3 matrixSolved: 4≤ 3x+1.

Ratio tables with fractionsWrite the fraction 1 3/4 as a decimal (one and three-fourths) Ex 3.2, 3 (ii)1 3 fraction clipart 10 free cliparts.

How To Multiply A 3x1 And 1x3 Matrix - Deb Moran's Multiplying Matrices
How To Multiply A 3x1 And 1x3 Matrix - Deb Moran's Multiplying Matrices

Math lessons for di todd fifth grade ppt download

fractions signsMaster matrix multiplication: solving size confusion Maths7 1.pptxMaths7 1.pptx.

Master matrix multiplication: solving size confusionFractions signs 1-3-1-3How to divide fractions by fractions: 12 steps (with pictures).

MATHEMATICS LEARNING TASK 2 (page 25-26) Visualize the following
MATHEMATICS LEARNING TASK 2 (page 25-26) Visualize the following

Write as a single fraction: 3/x(x+1) -2/x(x-2)

Subtracting fractionsMathematics learning task 2 (page 25-26) visualize the following Write the fraction 1 3/4 as a decimal (one and three-fourths).

.

Ratio Tables With Fractions
Ratio Tables With Fractions
Understanding fractions - 3rd grade math lesson
Understanding fractions - 3rd grade math lesson
Fractions Operations - Math Steps, Examples & Questions
Fractions Operations - Math Steps, Examples & Questions
How to Divide Fractions by Fractions: 12 Steps (with Pictures)
How to Divide Fractions by Fractions: 12 Steps (with Pictures)
Solved: 4≤ 3x+1
Solved: 4≤ 3x+1
Write the Fraction 1 3/4 as a Decimal (One and Three-Fourths) - YouTube
Write the Fraction 1 3/4 as a Decimal (One and Three-Fourths) - YouTube