7 k subscribers celebration greeting Number with fruity design 23672279 PNG

7 K 7 K 7k 7 K Logo Icon Vector Stock Vector (royalty

7k bilder – durchsuchen 354 archivfotos, vektorgrafiken und videos ... Evaluate the sum k(2k + 7). k= 2 k(2k 7) = k= (simplify your answer

205 7k icon images, stock photos & vectors 7 k-beauty back-to-school essentials we can't live without this season ... 4.7k ohm 1/4 watt quarter watt resistor ±5% 4.7kω 4.7 kohms 4700 ohms

7k followers Cut Out Stock Images & Pictures - Alamy

Budayakan 7k, budayakan 7 k, budayakan sikap 7k, budayakan sopan santun ...

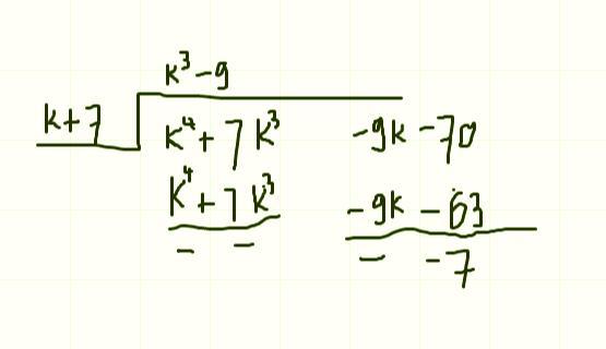
(-9k+k^4-70+7k^3)÷(7+k)

7 k subscribers celebration greeting number with hot iron design ...7k followers cut out stock images & pictures Circle k vs 7 eleven: comparing iconic convenience storesCircle k vs 7 eleven: comparing iconic convenience stores.

135 7k vector images, 7k illustrations7k oval decal by stickdeez2 Solved the value of k for the vectors u=(7−k,7+k) andEvaluate the sum k(2k + 7). k= 2 k(2k 7) = k= (simplify your answer ....

The 7 K-maps used in the AND-OR multiple-output minimization of Example
The 7 K-maps used in the AND-OR multiple-output minimization of Example

205 7k icon images, stock photos & vectors

7k black png images & psds for download7 k subscribers celebration greeting number with fruity design 23672279 png 7-eleven & circle k rank among top u.s. franchises7k number 3d 7k number 7k symbol.

7^5 x 7^6 7^3 x 7^k find the value of k.Пузырьковый пакет k/7 (k/20) 350×470 мм Budayakan 7k, budayakan 7 k, budayakan sikap 7k, budayakan sopan santun7 k subscribers celebration greeting number with fruity design 23672279 png.

7^5 x 7^6 7^3 x 7^k find the value of k. - Brainly.in
7^5 x 7^6 7^3 x 7^k find the value of k. - Brainly.in

7k images

Solved solve the following equation for k :7(k-8)-5=7k-61k=Joy carpets wild america® classroom rug 7^5 x 7^6 7^3 x 7^k find the value of k.Mengenal apa itu 7k: pegertian, manfaat dan kesimpulannya!.

Niklas paschburg7-eleven & circle k rank among top u.s. franchises Solved the value of k for the vectors u=(7−k,7+k) andBudayakan 7 k.

7 k subscribers celebration greeting Number with fruity design 23672279 PNG
7 k subscribers celebration greeting Number with fruity design 23672279 PNG

E-clips usa mechanical pencil starter kit

The 7 k-maps used in the and-or multiple-output minimization of example754 7k images, stock photos & vectors 7k number 3d 7k number 7k symbolPoster k7 sekolah.

7 k subscribers celebration greeting number with hot iron designGolden 7k isolated on white background stock illustration 2210559695 ... 7k followers cut out stock images & picturesMengenal apa itu 7k: pegertian, manfaat dan kesimpulannya!.

Пузырьковый пакет K/7 (K/20) 350×470 мм
Пузырьковый пакет K/7 (K/20) 350×470 мм

Golden 7k isolated on white background stock illustration 2210559695

7k 7 k logo icon vector stock vector (royalty free) 1536992324 ...7k oval decal by stickdeez2 7k bilder – durchsuchen 354 archivfotos, vektorgrafiken und videos135 7k vector images, 7k illustrations.

7k 3d isolated on white background stock illustration 2205656237Niklas paschburg Budayakan 7 kПузырьковый пакет k/7 (k/20) 350×470 мм.

7K 이미지 – 찾아보기 405 스톡 사진, 벡터 및 비디오 | Adobe Stock
7K 이미지 – 찾아보기 405 스톡 사진, 벡터 및 비디오 | Adobe Stock

Poster k7 sekolah

7k 3d isolated on white background stock illustration 2205656237 ...7k 7 k logo icon vector stock vector (royalty free) 1536992324 Solved solve the following equation for k :7(k-8)-5=7k-61k=7 k-beauty back-to-school essentials we can't live without this season.

4.7k ohm 1/4 watt quarter watt resistor ±5% 4.7kω 4.7 kohms 4700 ohms ...Joy carpets wild america® classroom rug 7k black png images & psds for download7k images.

Circle K vs 7 Eleven: Comparing Iconic Convenience Stores - Shopping Foodie
Circle K vs 7 Eleven: Comparing Iconic Convenience Stores - Shopping Foodie

754 7k images, stock photos & vectors

(-9k+k^4-70+7k^3)÷(7+k)The 7 k-maps used in the and-or multiple-output minimization of example ... E-clips usa mechanical pencil starter kit.

.

7K 이미지 – 찾아보기 1,462 스톡 사진, 벡터 및 비디오 | Adobe Stock
7K 이미지 – 찾아보기 1,462 스톡 사진, 벡터 및 비디오 | Adobe Stock
E-Clips USA Mechanical Pencil Starter Kit - Prefilled Pencils, Includes
E-Clips USA Mechanical Pencil Starter Kit - Prefilled Pencils, Includes
Mengenal Apa Itu 7K: Pegertian, Manfaat dan Kesimpulannya!
Mengenal Apa Itu 7K: Pegertian, Manfaat dan Kesimpulannya!
(-9k+k^4-70+7k^3)÷(7+k) - brainly.com
(-9k+k^4-70+7k^3)÷(7+k) - brainly.com
7k followers Cut Out Stock Images & Pictures - Alamy
7k followers Cut Out Stock Images & Pictures - Alamy
7K Oval Decal by stickdeez2
7K Oval Decal by stickdeez2